上海恒點傳動設備有限公司
加微信聯系 恒點減速機QQ2:51228482
[HTML] [XML]  産品展示産品展示-RSS  新聞中心新聞中心-RSS  技術支持技術支持-RSS
産品分類: 減速機蝸輪絲杆升降機轉向箱蝸輪蝸杆減速機齒輪減速機行星齒輪減速機擺線針輪減速機無級變速機大功率減速器
上海恒點傳動設備有限公司
資訊分類
和産品相關的技術文章
當前位置:網站首頁 > 技術支持 > 高速漸開線圓柱齒輪和類似要求齒輪承載能力計算方法齒面接觸強度(點蝕)計算(JB/T8830-2001

高速漸開線圓柱齒輪和類似要求齒輪承載能力計算方法齒面接觸強度(點蝕)計算(JB/T8830-2001

Tags: ARA螺旋錐齒輪轉向箱    發布時間: 2014-10-05
5齒面接觸強度(點蝕)計算
5.1基本準則
節點或單對齒齧合區内界點處的接觸應力σH是齒面接觸強度的計算基礎。用兩點中的較大σH值來確定承載能力 。小輪和輪的接觸應力σH和許用接觸應力σHP均要分别計算,σH應當小於或等於σHP
5.1.1強度條件
大、小輪在節點和單對齒齧合區内界點處的計算接觸應力中的較大值σH,均應不大於其相應的許用接觸應力σHp即:
σH≤σHp……………………(50)
或者,接觸強度的計算安全系數SH均應不小於其相應的最小安全系數SHmin,即:
SH≥SHmin……………………(51)
上述兩式中:σH­­——計算接觸應力,N/mm2,見5.1.2;
σHp——許用接觸應力,N/mm2,見5.1.3;
SH——接觸強度的計算安全系數,見5.1.4;
SHmin——接觸強度的最小安全系數,見1.4。
5.1.2計算接觸應力σH­­
小輪和大輪的計算接觸應力σH­­1和σH­­2分别按下述兩式確定:
上述兩式中:“+”号用於外齧合,“-”号用於内齧号;
Z­H——節點區域系數,見5.3;
B、ZD——小輪及大輪單對齒齧合系數,見5.2;
ZE——彈性系數,,見5.4;
Zβ——螺旋角系數,見5.6;
b——齒寬(對於雙斜齒傳輸線b=2bB),mm,取一對齒輪中節圓處的較小齒寬,忽略端面倒棱或修緣部分。對齒面硬化齒輪,齒寬既不包括非硬化部分,也不包括過渡區部分;
u——齒數比,u=z1,z2,、z1分别爲大輪和小輪齒數。
5.1.3許用接觸應力σHP
根據GB/T3480(或ISO6336-5),σHlim是在循環次數NL=5×107時得出的,高速齒輪的循環次數可能超過這個值.當NL≤5×107時,可按式(54)計算σHP;當NL>5×107時,在給出合适的條件(材料、制造)和有使用經驗時,仍可按式(54)計算σHP,滞則,由式(55)計算σHP
上述兩式中:σHlim——試驗齒輪的接觸疲勞極限,N/mm2,見5.7;
ZL——潤滑劑系數,見5.8.1;
ZV——速度系數,見5.8.2;
ZR——粗糙度系數 ,見5.8.3;
ZW——工作硬化系數,見5.9;
ZX——接觸強度計算的尺寸系數,見5.10;
σHG——計算齒輪的接觸極限應力 ,N/mm2
σHpref——基準許用接觸應力,N/mm2,σHpref取爲由式(54)計算的σHP值;
NL——應力循環次數。
5.1.4接觸強度的計算安全系數SH
大、小齒傳輸線的SH分别計算。
式中:σHG是按式(54)或式(55)計算。
5.2單對齒齧合系數ZB,ZD
當ZB>1或ZD>1時,ZB是把節點處的接觸應力折算到小輪單對齒齧合内界點B處的接觸應力的系數;ZD則是把節點處的接觸應力折算到大輪單對齒齧合區内界點D處的接觸應力的系數。
a)内齒輪
ZB=ZD=1
b)εβ≥1的斜齒輪
ZB=ZD=1
c)直齒輪
先計算參數M1和M2
式中:da1(da2),db1(db2),z1(z2)分别爲小輪(大輪)的齒頂圓、基圓直徑和齒數;αwt爲端面節圓齒合角;εα爲端面重合度 ,見5.5.1。
當M1>1時,取ZB=M1;當M1≤1時,取ZB=1.0。
當M2>1時,取ZD=M1;當M2≤1時,取ZD=1.0。
d)εβ<1的斜齒輪副
ZB和ZD在直齒輪和εβ≥1的斜齒傳輸線之間插值確定:
ZB=M1β­(M1-1),ZB≥1……………………(59)
ZD=M2β­(M2-1),ZD≥1……………………(60)
當ZB和ZD等於1時,由式(52)和式(53)計算的接觸應力是節圓柱10)10)5.2中的方法适用於計算當節點位於接觸線上時的接觸應力。當節點C位於接觸強之外時,ZB和(或)ZD按鄰近的頂圓接觸確定。對於εβ<1的斜齒輪ZB和ZD在直齒輪和εβ≥1的斜齒輪的值(在節點或鄰近的頂圓上確定)之間線性插值確定。)上的接觸應力。
5.3節點區域系數ZH是考慮節點處齒廓曲率對赫茲壓力的影響並将分度圓上的切向轉換爲節圓上的法向力的系數。
式中:βb爲基圓螺旋角,見式(98);αt爲端面分度圓壓力角;αwt爲端面齧合角。
5.4彈性系數ZE
彈性系數ZE是考慮材料特性E(彈性模量)和v(泊桑比)對接觸應力影響的系數。ZE的值見表3。
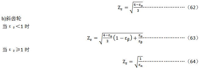
5.5重合度系數Zε
重合度系數Zε是考慮端面重合度和縱向重合度對圓柱齒輪齒面承載能力影響的系數 。
a)直齒輪
表3部分材料組合的彈性系數ZE
齒輪1
齒輪2
材料
彈性模量
N/mm2
泊桑比v
材料
彈性模量
N/mm2
泊桑比
v
ZE
206000
0.3
206000
0.3
189.8
鑄鋼
202000
188.9
球墨鑄鐵
173000
181.4
鑄錫青銅
103000
155.0
錫青銅
113000
159.8
灰鑄鐵
126000到118000
165.4到162.0
鑄鋼
202000
鑄鋼
202000
188.0
球墨鑄鐵
173000
180.5
灰鑄鐵
118000
161.4
球墨鑄鐵
1730000
球墨鑄鐵
173000
173.9
灰鑄鐵
118000
156.6
灰鑄鐵
126000到118000
灰鑄鐵
118000
146.0到143.7
5.5.1端面重合度εα
ε­α=gα/Pbt……………………(65)
端面基圓齒距:
Pbt=mt­πcosαt……………………(66)
齧合線長度:
上式中外齒輪取上排符号,内齒輪取下排符号。
式(67)僅在齧合線長度由大 、小齒輪齒頂圓所限定時才有效,不适用於挖根齒廓。
5.5.2縱向重合度αβ
式中:b爲齒寬,mm,見5.1.2齒寬的定義。
5.6螺旋角系數Zβ
螺旋角系數是考慮螺旋角對接觸應力影響的系數。
5.7接觸疲勞極限應力σHlim
GB/T 3480和GB/T8539中給出瞭常用齒輪材料、熱處理方法及材料質量對接觸疲勞極限應力影響的有關資料 ,σHlim由标準試驗齒輪的試驗結果獲得 。
GB/T8539中還給出瞭ML、MQ、ME和MX質量等級的材料和熱處理要求 。除非别有協議,材料質量等級MQ爲高速齒輪所要求的最低質量等級。
高速齒輪常用材料的接觸疲勞極限σHlim見圖1~圖3。
齒輪承載能力計算方法齒面接觸強度(點蝕)計算
齒輪承載能力計算方法齒面接觸強度(點蝕)計算
齒輪承載能力計算方法齒面接觸強度(點蝕)計算
圖3 滲氮和氮碳共滲鋼的σHlim
5.8潤滑油膜影響系數ZL、ZV和ZR
ZL、ZV和ZR分别是考慮名義潤滑劑黏度、相齧齒廓間的相對速度和齒面粗糙對接觸區潤滑油膜的影響。
當齧合齒輪的硬度不同時,用較軟的材料來確定這些系數。
5.8.1潤滑劑系數ZL1111)可選用ZL=CZL+4(1-ZZL)vf,vf=1/(1.2+80/v50)2,常用黏度參數見下表:
ISO黏度等級
VG32*
VG46*
VG68*
VG100
VG150
VG220
VG320
名義黏度 v40
v50
mm2/s
mm2/s
32
21
46
30
68
43
100
61
150
89
220
125
320
180
黏度參數vf
-
0.040
0.067
0.107
0.158
0.227
0.295
0.370
*僅用於高速齒輪。
a)當850N/mm2≤σHlim≤1200 N/mm2時 :
b)σHlim<850N/mm2時:
CZL=0.83……………………(72)
c)σHLim>1200 N/mm2時:
CZL=0.91……………………(73)
5.8.2速度系數ZV1212)可選擇:ZV=CZV+2(1-CZV)vP,速度參數VP=1/(0.8+32v)0.5。)
式中:
CZV=CZL+0.02………………(75)
5.8.3粗糙度系數ZR
上述兩式中 :RZ10——相對峰谷平均粗糙度,μm,見式(79);
RZ1、RZ2——小輪及大輪齒面微觀不平度10點高度,μm。
5.8.3.1粗糙度值
RZ1、RZ2在幾個齒面測量13),14)13)平均粗糙RZ1(小輪齒廓)和RZ2(大輪齒廓)由制造後的齒面狀況確定。制造包括任何形式的跑合 ,如作爲制造工序的一部分而專門進行的跑合,如有可能也包括使用狀誠下的跑合。14)若粗糙度以Ra值(=CLA值)(=AA值)給出時,則可近似地取Ra=CLA=AA=Rz/6。),取其平均值。
式中:ρred——節點處誘導曲率半徑,mm;
ρ1、ρ2——分别爲小輪及大輪節點處的曲率半徑,mm;
ρ1=0.5db1tanαwt……………………(81)
ρ2=0.5db2tanαwt……………………(82)
對内齒輪,db­取負号。
5.8.3.2指數CZR
a)當850850N/mm2≤σ­Hlim≤1200 N/mm2時:
CZR=0.32-0.0002σ­Hlim…………………………(83)
b)σ­Hlim<850N/mm2時:
CZR=0.15………………………………(84)
c)σ­Hlim>1200 N/mm2時:
CZR=0.08………………………………(85)
5.9齒面工作硬化系數ZW
工作硬化系數ZW是考慮鋼制大齒輪(結構鋼、調質鋼)與光整齒面(Rz≤6μm)的硬化小齒輪相齧合,從而使大齒輪齒面承載能力得能提高的系數。
式中:HB——齒輪副中較軟齒輪齒面的布氏硬度;當HB<130時,ZW=1.2;當HB>470時,ZW=1.0。
5.10接觸強度計算的尺寸系數ZX
ZX是考慮因尺寸的增大使材料接觸強度降低的尺寸效應系數。統計數據表明,尺寸大小影響到應力梯度較小的次表層的缺陷(如果缺陷存在)與材料品質(影響鍛造過程與金屬結構的變化等)。
對於調質齒輪及相對於輪齒尺寸和相對曲率半徑有合适滲層深度的表面硬化齒輪,ZX=1,當滲層較淺時,ZX應選擇較小的值 。
上一篇 上一篇: 高速漸開線圓柱齒輪和類似要求齒輪承載能力計算方****齒彎曲強度計算(JB/T8830-2001)
下一篇 下一篇: 高速漸開線圓柱齒輪和類似要求齒輪承載能力計算方法載荷影響系數(JB/T8830-2001)
相關新聞文章 > 查看更多
軸承異響-外部環境與操作影響 2026-01-23
淺談傳動軸的端部聯接形式 2025-12-12
淺析高粘度齒輪泵的發展特點 2025-11-21
改善機彎小彎曲半徑 ,薄壁鋼管彎頭的措施有哪些 2025-10-29
車削螺紋時常見故障及解決方法-螺紋表面粗糙 2025-09-02
編制工藝規程時必須具備的原始資料有哪些 2025-08-22
如何評價直接測量未定系統誤差合成法 2025-07-08
軸承産品鏽蝕的原因 2025-06-10
錐齒輪承載能力計算方法第1部分:概述和通用影響系數附錄A(GB/T10062.1-2003) 2025-04-24
什麽是機械加工表面質量 2025-02-14
什麽是低溫軸承?用於哪些領域,有哪些類型? 2025-01-15
什麽是軸承的軸向遊隙 2024-11-22
返回頂部 關閉本頁】 【打印本頁
電 話:021-22815912  021-22816186  傳 真:021-32050712   郵箱:sales@021jsj.cn  減速機 絲杆升降機 轉向箱 蝸輪蝸杆減速機
Copyright©2009-2026上海恒點傳動設備有限公司 版權所有  地址:上海市金山區亭林鎮林寶路39号  郵編:200442  滬ICP備10206998号-2 
友情鏈接機械設備網 | 渦街流量計 | 輸送機 | 變頻控制櫃 | 破碎機 | 工業同城 | 手持終端 | 柴油發電機 | uv平闆打印機 | 風淋室 | QUV | 防火門 | 九愛圖紙 | 感應加熱設備 | 輸送帶廠家 | 噪聲治理 | 西門子plc | 拖鏈電纜 | AGV | 機械雜志 | 現代機械 | UWB高精度定位 |